千维计算器中文版特色
1、【计算器】 支持复杂的计算表达式运算、输错算式可在任意位置重新输入,支持历史记录保存,可实时恢复历史记录计算,计算结果一键拷贝 2、【科学计算器】 支持校园中常见数学三角函数、幂函数、圆周率、对数函数、无理数 3、【自由公式】 可任意自定义计算规则公式,不仅适用于日常学习中的常见公式,尤其适用于投资理财,工程计算等多参数复杂场景 4、【数据统计】 支持实时计算数据样本的平均数、总和、方差、标准差、中位数、众数 5、【单位换算】 6、内置20+多种常见数学单位、物理工程单位、化学单位的换算,一键换算、实时输出 7、【厘米尺子】 口袋中的厘米尺,免去携带卷尺的便利 8、【实时汇率】 支持实时查询各大银行外汇汇入、汇出价格 9、【亲戚称呼】 支持任意辈分亲戚关系称呼查询 10、【理财计算】 实时计算银行理财、复利理财、定投理财收益情况 11、【进制计算】 支持36进制以内的任意进制数之间的转换 12、【主题管理】 支持实时更换自定义主题皮肤 13、【调色板】 任意拾取色彩颜色、采集图片中任意位置的颜色千维计算器怎么创建自定义公式
1、首先我们点击下方蓝色按钮中的第一个【自由公式】按钮。
2、接着再点击右上角的【+】,创建自定义公式。
3、第一行填写【公式名称】,第二行填写【公式内容】,填完后点击右上角【√】保存。
4、保存完成后,就可以在【公式列表】最下方看到创建好的公式。
5、点进公式,【输入】对应的数值,即可自动完成计算。
千维计算器怎么算最小二乘法
1、先把n个数据测量值画在坐标纸上,如果呈现一种直线趋势,才可以进行最小二乘法(直线回归法)。
2、然后就是计算这些n个数据点的横坐标平均值和纵坐标的平均值:
3、接着计算所有点的横坐标求和结果,以及所有点的纵坐标求和结果:
4、然后是计算每个数据点横坐标的平方,然后求和,以及计算每个点横坐标乘以纵坐标的乘积,然后求和:
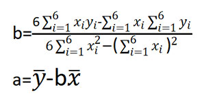
5、最后就是利用两个公式,把将要求的直线方程中的截距a和斜率b这两个参数代入上面的公式计算出来:
6、求出了a和b这两个参数之后,就可以得到直线方程:y=ax+b。这个时候还要利用这个方程,先取两个点,这两个点要求横坐标x1和x2距离比较远,这样误差会比较小(太近的两个点,误差比较大),然后分别代入刚求出来的直线方程y=ax+b,求出对应的y1和y2,然后把(x1,y1)和(x2,y2)描点在坐标纸上,这样就可以利用两点画出一条最终的回归直线了。
7、用户可以按照上述的创建自定义公式方法在千维计算器中创建最小二乘法的公式,然后进行方便计算。
软件亮点
1、简约的界面设计。 2、个性化的快捷输入键盘。 3、输入即显示的快速换算。 4、个性化的记忆计算器。 5、一键快速科学函数计算器。 6、支持国际主流的工程计量单位。 7、支持小数进制转换。 8、简约化的自定义参数。 9、支持功能排序。更新日志
v6.9.4版本
稳定性改进和错误修正。

